标准偏差计算软件最新版

大小:40KB

版本:1.2

语言:简中

更新:2026-01-21

普通下载
360安全卫士下载
资源说明

标准偏差计算软件是一款简单好用的标准偏差计算工具。标准偏差计算软件能够帮助用户根据不同的数据统计出平均值、平均偏差、标准偏差、相对平局偏差等数据,界面清晰直观,操作简易,计算结果精准,学工程、统计的用户一定能用上,是一款很不错的软件,对该软件最新版有兴趣的小伙伴快来下载吧!

标准偏差计算软件特色

这个软件的计算结果非常准确,可以显示小数点后6位。

支持6个计算项目,每个项目的数据自动显示。

可以同步计算所有结果,输入的数据会立刻显示出来。

您可以计算不同的数据,通过空白键分隔就可以。

标准偏差计算软件常见问题

什么是相对标准偏差?

相对标准偏差(RSD,relative standard deviation)就是指:标准偏差与计算结果算术平均值的比值。

相对标准偏差(RSD)=标准偏差(SD)/计算结果的算术平均值(X)*100%

该值通常用来表示分析测试结果的精密度。

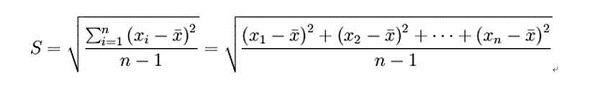
其中标准偏差(SD)

标准偏差计算软件最新版

公式中

S-标准偏差(单位与样本单位相同)。

n-试样总数或测量次数,一般n值不应少于5个。

i-物料中某成分的各次测量值,1~n。

标准偏差计算软件安装步骤

下载安装包并打开。

点击自定义选择安装位置安装。

安装完成后即可打开使用。

标准偏差计算软件更新日志

1、优化了软件的性能和界面。

2、修复了一些bug。

相关软件
逻辑计算器旧版本

逻辑计算器旧版本

下载
逻辑计算器是一款简单易用的计算工具。逻辑计算器支持加减乘除运算,支持编码转换运算,输入二进制编码,可以帮忙计算各种复杂的进制运算还有编码查询,支持big5和gb2312码的转换,大大提高了编程的效率。逻辑计算器功能全面包含了16进制输入、2进制输入、小数显示、字符、汉字编码查询、BIG5码和GB2312码转换的功能,喜欢旧版本的用户快来下载吧!
大小:51KB 时间:2025-11-11
相对标准偏差计算软件v1.0

相对标准偏差计算软件v1.0

下载
相对标准偏差计算软件是一款专业的偏差计算的工具软件。使用者可以通过软件计算多个数据的平均值、平均偏差、标准偏差、相对平均偏差、相对标准偏差和精度,使用方法也很很简单,在输入框内每一行输入一个数据点击计算就可以得到结果。
大小:40KB 时间:2025-10-08
易捷比赛平均分快速计算软件v2.1

易捷比赛平均分快速计算软件v2.1

下载
易捷比赛平均分快速计算软件是一款专业的比赛平均分的快速计算工具软件。使用者可以通过软件快速计算一场比赛中去除最高分和最低分后的平均分数。软件的整体使用方法还是非常简单的,按照使用方法说明中操作几步即可完成计算。
大小:0.67MB 时间:2025-09-10
桌面科学计算器v8.6

桌面科学计算器v8.6

下载
桌面科学计算器是一款专业的桌面科学计算工具软件。软件可以帮助使用者进行基础运算、科学计算、函数运算等,软件还支持二进制、十进制、八进制、十六进制之间的互相转换。软件的体积小巧,使用起来也非常方便,是一款很实用的软件工具。
大小:0.71MB 时间:2025-03-25
最新软件
万兴图示15.0.8

万兴图示15.0.8

下载
万兴图示是一款十分优秀的综合绘图软件,软件界面简洁,操作简单易懂,拥有210+图形解决方案,26000+绘图符号,1500+专业模板,一键导出成图片、PDF、Word、PPT等常用的格式,支持完善的绘制、修改方法,可以将任何时候看到的绘图形状输出为各种通用的图形格式或直接打印,满足用户的各种使用需求,有需要的小伙伴赶快下载体验吧!
大小:2.09MB 时间:2026-01-21
Studio One最新版

Studio One最新版

下载
Studio One是专业数字音频工作站,兼顾音乐制作新手入门与专业艺人创作需求。它整合录音、编曲、混音、母带处理全流程功能,界面设计直观易懂,操作逻辑贴合创作习惯,无需复杂设置就能快速上手。既能满足流行、电子、摇滚等多元曲风制作,也能适配播客、有声读物等音频内容创作。
大小:245.50MB 时间:2026-01-21
鲁班修图最新版

鲁班修图最新版

下载
鲁班修图是一款简单实用的图像处理工具。鲁班修图采用了ps底层的强大算法模式打造,能够帮助用户对各种图像进行一键处理以及曝光补偿,提高图片的观赏效果。鲁班修图软件还能修复简单的画面损伤,快速消除皮肤缺陷,给你一张高质量的清晰照片,对该软件最新版有需求的用户千万不要错过!
大小:35.17MB 时间:2026-01-21
freearc中文版

freearc中文版

下载
FreeArc是一款主打高压缩比的开源免费压缩解压工具,兼顾个人文件整理与办公批量压缩需求。它整合多种先进压缩算法,在保证压缩效率的同时,兼容主流压缩格式,操作界面简洁直观,无冗余广告与捆绑安装。无论是小型文件快速压缩,还是大型文件分卷处理,都能轻松应对。
大小:12.73MB 时间:2026-01-21

玩家点评 0人参与,0条评论)

收藏
违法和不良信息举报
分享:

热门评论

全部评论

编辑推荐