SeeFiberLaserv1.1.2

大小:1.72MB

版本:1.1.2

语言:简中

更新:2026-05-16

普通下载
资源说明

SeeFiberLaser是一款强大的软件,它包含了许多我们生活中需要用到的功能。这款软件拥有简洁的界面,但是它的功能很强大。我们无论是在日常生活中还是在办公的过程当中,都可以使用这款软件作为我们的工具。

软件简介

SeeFiberLaser最新版是一款功能实用,专业性极强的光纤激光仿真软件,SeeFiberLaser最新版内置丰富的功能,其软件是基于光纤光学和激光原理的基本物理模型,采用有限差分算法可以进行数值求解,包含两个波长的拉曼增益系数,多个光纤激光器模型,可进行光纤激光的产生、放大和传输,可以满足用户的需求。

软件功能

1、物理模型

本软件包含多个光纤激光器模型,根据用户输入的参数和考虑的因素自动选择所使用的物理模型,目前教学测试版开放的是基于速率方程的掺镱光纤激光器模型,包含了放大自发辐射效应、拉曼散射效应以及热效应,可以用于计算掺镱光纤振荡器和放大器[1-3],具体包括弯曲损耗、单(多)波长泵浦、单(多)波长放大、高功率系统中拉曼效应等多种情况。

为了模拟光纤激光器中各个波长的演化过程,我们将掺镱光纤的吸收发射谱等间隔地分割成众多的分离谱,把每一个分离谱内的激光看作单一波长,并对每个波长建立速率方程,这样可以考虑各个波长对总增益的影响以及波长之间的竞争,如果计算中包含拉曼效应,则可以分别计算各个波长的拉曼增益。

计算中无论是振荡器还是放大器,在模型两端都可以设置泵浦光和反馈,该结果作为模型的边界条件输入。

本模型只考虑光谱各成分的功率演化,不包含相位,因此属于非相干模型。

本模型是标量模型,不考虑偏振效应的影响。

2、数值算法

本版本软件采用有限差分算法对模型进行数值求解,首先把光纤轴向坐标和光谱网格化,并对物理模型和边界条件进行离散,将模型转化为边值问题,从而利用我们软件的算法计算出各波长激光沿光纤分布的功率等结果。计算的速度与选取的光纤网格划分精度有关,选取的网格越精细,计算时间越长,通常光纤的计算步长设置为0.01m,当计算功率较大或者光纤吸收系数较大时,建议适当减小光纤的计算步长(例如0.005m),以便提高准确性。实际使用中可以通过比较步长减半的两个结果来判断计算精度是否符合要求。

我们的算法属于迭代算法,所以计算的精度还与收敛的容忍精度有关,软件中默认的容忍精度为10-4,实际使用中也可以通过比较容忍精度减半的两个结果来判断计算结果是否符合要求。

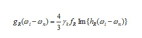
3、拉曼增益系数

模型中每个波长的拉曼增益系数表示为

SeeFiberLaserv1.1.2

,即第i个波长给第n个波长的光信号提供的Raman增益(或损耗),具体表达式为[4]:

SeeFiberLaserv1.1.2

其中

SeeFiberLaserv1.1.2

为非线性参量,n2为非线性折射率,对于石英光纤,在1微米波段约为2.6×10-20 m2/W;

SeeFiberLaserv1.1.2

为延迟拉曼响应对非线性极化强度的贡献比例,在硅基质光纤中一般取0.18;而

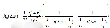
SeeFiberLaserv1.1.2

为延迟拉曼响应函数hR(t)的傅里叶变换,而拉曼响应函数hR(t)的近似解析表达式如下:

经推导,可得其傅里叶变换

SeeFiberLaserv1.1.2

的解析形式如下:

SeeFiberLaserv1.1.2

在软件中通过设置

SeeFiberLaserv1.1.2

就可确定计算中所用的拉曼增益系数,通常在石英光纤中这三个参数变化不大,因此可以直接使用软件中的默认值。

4、掺镱光纤吸收发射截面

掺镱光纤的吸收发射截面是通过外部导入,软件有一个默认的吸收发射截面参数表,其数值会在掺镱光纤参数设置界面右上角以图形显示,如图2. 1所示。计算波长的精度是由输入的吸收发射截面数据精度决定的。该吸收发射截面参数表要求波长间隔相等,默认的参数表里波长间隔为0.2nm。用户可以将自己测量的结果导入进行计算。吸收发射截面参数表为Excel文件,第一列为波长(单位nm),第二列为吸收截面,第三列为发射截面(单位m2)。当用户设置的波长间隔小于导入参数列表的波长间隔时,软件将用与其波长最近的吸收发射截面系数替代。波长间隔同样会影响计算速度,波长间隔越小计算所需的时间越长,所以波长间隔应根据实际需求合理设置。

SeeFiberLaserv1.1.2

相关软件
Gx Simulator电脑版

Gx Simulator电脑版

下载
Gx Simulator是三菱的PLC离线仿真软件,用于三菱PLC程序的仿真调试,无需连接真实PLC硬件即可完成程序测试。主要适配三菱FX系列、Q系列等主流PLC型号,支持梯形图程序的在线监视与调试,广泛应用于PLC编程学习、程序开发测试、故障排查等场景,无需投入硬件成本,就能快速验证程序可行性。
大小:40.34MB 时间:2026-05-14
LightBurn电脑版

LightBurn电脑版

下载
LightBurn是一款专业的激光切割与雕刻控制软件,主打激光设备的布局、编辑与精准控制,用于激光切割、雕刻的设计编辑与设备控制,适配多种类型激光控制器,解决图稿导入不便、参数调节繁琐、无法直接控制设备等问题,兼顾专业性与易用性。
大小:57.99MB 时间:2026-05-13
仿真软件20SiM 4.5.4

仿真软件20SiM 4.5.4

下载
《仿真软件20SiM 4.5.4》是一款多功能机电一体化系统建模和仿真程序,用户可以通过这个软件绘制工程图案,还能插入到模型中,功能非常强大全面,操作也很简单,有需要的快来下载吧!
大小:96.56MB 时间:2026-04-28
FlyMcu免费版

FlyMcu免费版

下载
FlyMcu是一款专为STM32单片机设计的专业串口烧录工具,用于单片机程序烧录,支持ISP、IAP等多种烧录方式,无需复杂配置,连接串口即可便捷操作。软件操作简单,兼顾新手与专业开发者需求,可实现程序烧录、校验、芯片信息读取等功能,广泛应用于电路编程、单片机开发及批量生产烧录场景。
大小:0.78MB 时间:2026-04-20
最新软件
欧路词典13.6.4.0

欧路词典13.6.4.0

下载
欧路词典是一款权威的英语词典软件,软件实用非常方便,支持学习笔记、生词本多平台同步,让你随时随地学英语,查看更新日志,提供了免费词库编辑器,用户可以轻松进行操作,赶快下载吧!
大小:144.29MB 时间:2026-05-16
驱动精灵万能网卡版最新版

驱动精灵万能网卡版最新版

下载
驱动精灵万能网卡版是一款功能强大的电脑维护软件,软件非常强大,提供CPU、显卡等温度和电池电量的实时监控功能,支持市面上常见的网卡设备,自带网络修复工具,还内置了检测汇总、驱动管理、诊断修复、软件管理、垃圾清理、硬件检测、百宝箱等几个功能模块。快来下载体验吧!
大小:352.14MB 时间:2026-05-16
应用宝v1.0.123.10

应用宝v1.0.123.10

下载
应用宝是一款强大的软件,它包含了许多我们生活中需要用到的功能。这款软件拥有简洁的界面,但是它的功能很强大。我们无论是在日常生活中还是在办公的过程当中,都可以使用这款软件作为我们的工具。
大小:6.52MB 时间:2026-05-16
百草汽配进销存系统v4.9.49

百草汽配进销存系统v4.9.49

下载
百草汽配进销存系统是一款非常好用的进销存软件,软件能够对业务中的操作进行记录,用户可以详细了解业务中的操作,软件界面简洁清爽,操作简单便捷,是一款非常好用的软件,适用于汽车配件商贸批发、零批兼营企业使用,对该软件感兴趣的小伙伴可以在本站下载体验。
大小:16.73MB 时间:2026-05-16

玩家点评 0人参与,0条评论)

收藏
违法和不良信息举报
分享:

热门评论

全部评论